首頁
網站導覽
法規專區
會員專區
相關連結
English
日本語
簡體中文
認識公會
公會沿革
組織架構
理監事委員名錄
政府機關委任委員名錄
會員輪值表
會員名錄
如何加入會員
公會位置圖
最新活動
活動行事曆總覽
本會活動
本會會議
專業進階課程
外部研習
機關校園活動
社團活動資訊
最新訊息
法規訊息
公會公告
公會公文
公文轉達
招標公告
仁和賞
緣起
獎盃創作
得獎作品
建築大賞得獎作品
建築開講
線上論壇
投稿辦法
作品展覽
建築師作品
其他作品
建材廣場
最新建材介紹
各分類建材
廣告刊登
業務申辦
建照掛號流程
鑑定委託申請
室內裝修審查流程
建照委審流程
使照委審及施工勘驗申請
社區建築師
社區建築師分配表
社區活動及成果發表
社區建築師組織辦法
便民服務
公共工程招標疑義
建築師查詢
線上委託
收費標準參考表
活動行事曆總覽
本會活動
本會會議
專業進階課程
外部研習
機關校園活動
社團活動資訊
首頁> 最新活動>
本會活動
本會活動
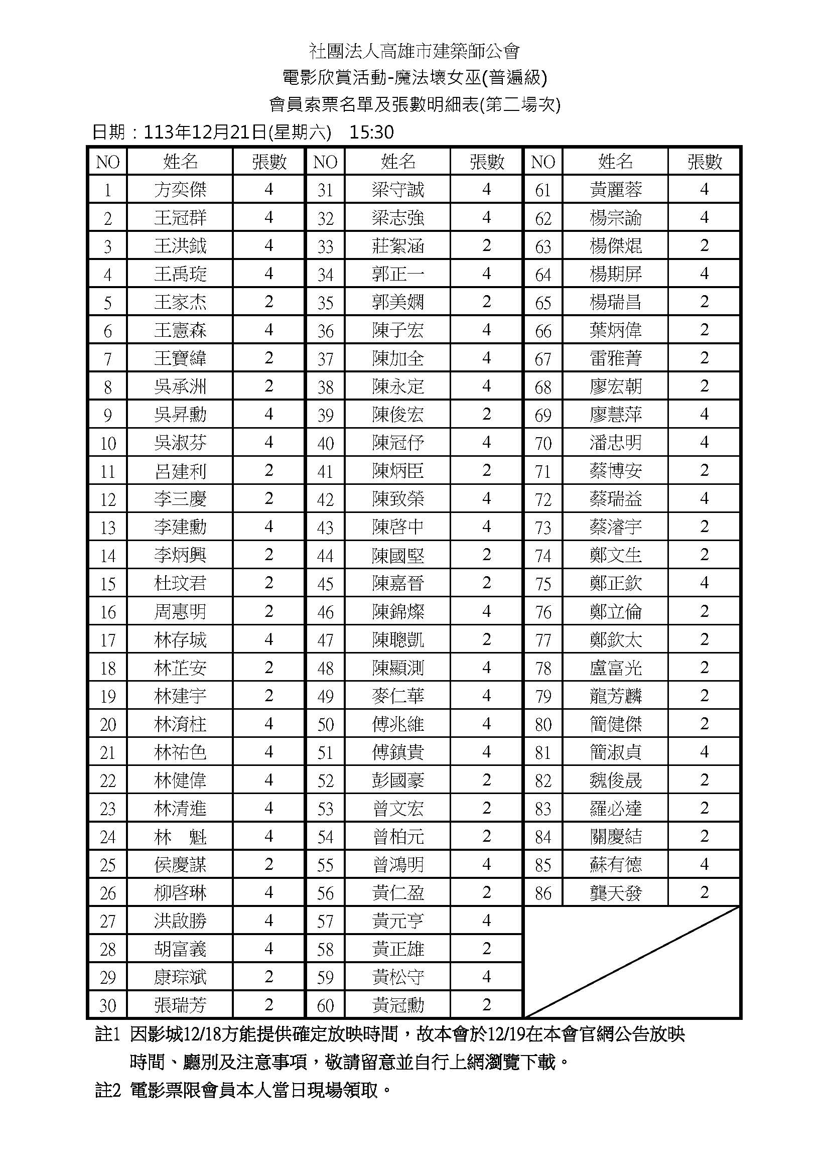
(第二場次)電影欣賞活動-魔法壞女巫(普遍級)
活動日期:
2024-12-21
活動時間:
下午15:30
活動地點:
高雄大遠百威秀影城
主辦單位:
福利委員會
報名方式:
報名截止
相關檔案:
檔案下載
相關圖片:
圖片瀏覽
相關網址:
相關花絮:
備註:
放映廳別.時間及索票時間,請至相關檔案點閱下載/索票名單請至相關圖片點閱下載